Bentrovati sognatori,
๐ฃ "E' successo di nuovo, pero' questa volta e' un ETF!"
๐ L'ETF Vanguard FTSE All-World UCITS (ISIN: IE00B3RBWM25) e' in guadagno del 100% a circa 6 anni dall'acquisto...lo so, non cambia molto, ma fa sempre il suo
straordinario effetto...๐ฏ๐ค
Sogni d'oro...๐ค
Da 0 a 100% bis
Report anno 2024
๐พ๐ BUON ANNO SOGNATORI!!! ๐๐พ
Di seguito il tradizionale riepiologo dell'anno appena concluso.
๐ I miei soldini hanno lavorato forte, generando un flusso di entrate pari a 2766,25€/anno, significa che ho ricevuto 231€ al mese qualunque cosa facessi. ๐๐ค
N.B. Nel conteggio totale non ho incluso gli interessi incassati con il conto deposito.
๐ค Come ogni anno, il mese piu' generoso e' stato luglio con 1099,60€.
๐ฅ
Rispetto al 2023 c'e' stato un incremento del 13% ๐ฅ
๐งญ In base all'andamento del CAPE Ratio e alla forte esposizione sui mercati emergenti, il capitale del PAC semestrale per
l'anno nuovo verra' investito completamente in
VEUR (azionario Europa sviluppata).
Le
residue posizioni su EUNU (obbligazionario IG globale), VFEM (azionario
mercati emergenti) e VWRL (azionario mondo sviluppato/emergenti)
rimarranno invariate.
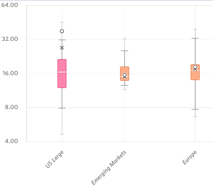
๐ง Diamo uno sguardo al CAPE Shiller e all'ERP (31 dicembre):
๐ช๐บ Europa = 18.30 punti;
๐ผ Paesi emergenti = 15.50 punti;
๐ฆฌ U.S.A. = 37.92 punti.
๐ Alla fine del 2023
il rapporto prezzo utili basato sul CAPE Ratio degli U.S.A.
era pari a 30.6; oggi partiamo da livelli piu' alti con un CAPE a 37.92
punti, anche l'ERP con un valore basso, ci suggerisce un peggioramento di prospettive di rendimento per la borsa americana negli anni venturi (i Treasury potrebbero offrire rendimenti superiori a quelli azionari).
Sui mercati emergenti le valutazioni sono allineate alla media storica mentre in Europa siamo leggermente sopra. I primi, non sono mai stati cosi' deboli verso la borsa americana dall'inizio degli anni '90, in parole povere, siamo di fronte ad un evento molto raro che, secondo il processo di ritorno verso la media che in teoria nel lungo periodo governa i mercati, dovrebbe rientrare. Quando, non si sa.
Fonte: Research Affiliates
๐ฏ L'obiettivo principale per il 2025 sara' generare maggiore reddito da dividendi rispetto all'anno appena concluso.
๐ Il periodo che ci siamo lasciati dietro le spalle e' stato caratterizzato principalmente da una "bull run", le principali classi di investimento hanno raccolto performance tutte positive, e' stato un anno fantastico. Sul fronte inflazione, le banche centrali hanno deciso di iniziare a tagliare i tassi di interesse (la FED a settembre mentre la BCE a giugno).
Fonte: Google Finance
๐ฑ Si conferma anche nel 2024 il trend dello scorso anno con le "Magnificent Seven" in testa:
๐ฅ Technology;
๐ฅ Communication Services;
๐ฅ Financial.
₿ Sul fronte blockchain, le cripto Bitcoin (+121%) ed Ethereum (+47%) hanno chiuso l'anno in positivo.
๐ฃ๐ Udite Udite! Ho valicato un traguardo importante per il mio percorso finanziario, ho superato i 1000€ di dividendi netti incassati in un mese.
๐ In questo anno ho azzerato totalmente le commissioni per eseguito sfruttando le promozioni del broker che utilizzo (anche se l'impatto annuale era modesto, sono sempre soldini risparmiati).
๐ Concludo affermando che il bilancio finale dei miei obiettivi e' da ritenersi positivo.
๐ฅ๐ฅ๐ฅ๐ฅ๐ฅ๐ฅ๐ฅ๐ฅ๐ฅ๐ฅ๐ฅ๐ฅ๐ฅ๐ฅ๐ฅ๐ฅ๐ฅ๐ฅ๐ฅ๐ฅ๐ฅ๐ฅ๐ฅ๐ฅ๐ฅ๐ฅ๐ฅ๐ฅ๐ฅ๐ฅ๐ฅ๐ฅ๐ฅ๐ฅ๐ฅ
๐งฎ Per gli amanti dei numeri, il mese peggiore e' stato ottobre mentre il migliore e' stato gennaio.
๐ Il portafoglio, dividendi esclusi, ha chiuso il 2024 segnando un +10,40% (l'inflazione media in Italia si attesta sullo 0,98%) e raggiunge il "all-time high".
Sogni d'oro...๐ค
Sintesi Dicembre 2024
Bentrovati sognatori,
di seguito il riepilogo mensile:
๐ฐ ENTRATE (al netto delle tasse)
-02/12 incassato dividendo AZIONE: PFIZER (gain = 3,77€);
-06/12 incassato dividendo AZIONE: UNILEVER (gain = 6,87€);
-12/12 incassato dividendo AZIONE: ENAGAS (gain = 10,31€);
-16/12 incassato dividendo AZIONE: COCA COLA (gain = 3,77€);
-19/12 incassato dividendo AZIONE: TELEFONICA (gain = 12,85€);
-19/12 incassato dividendo ETF: INV S&P500 HIGH DIV (gain = 8,03€);
-20/12 incassato dividendo AZIONE: SHELL (gain = 15,45€);
-27/12 incassato dividendo ETF: VAN FTSE EU ETF EUR (gain = 110,45€);
-27/12 incassato dividendo ETF: VAN FTSE EM MA USD (gain = 78,73€);
-27/12 incassato dividendo ETF: VAN FTSE ALL USD (gain = 68,04€);
-27/12 incassato dividendo ETF: ISH DJASIA SELECTDIV (gain = 76,59€);
-31/12 incassati interessi CONTO: DEPOSITO LIBERO (gain = 72,25€).
๐ธ USCITE
-12/12 acquistata obbligazione Oat Tf 0% Fb26 Eur (pdc = 97,63€).
๐ญ CONSIDERAZIONI
Il mese appena concluso ha portato un flusso di entrate pari a 467,11€ di cui 394,86€ di dividendi.
๐ฅ Questo mese e' scaduta l'obbligazione Italia (Btp Tf 0% Dc24 Eur) e con i soldi svincolati ho comprato una obbligazione Francia (ISIN: FR0013508470); questa scelta ha un doppio effetto, per primo, voglio tenere parte della liquidita' destinata al "fondo di emergenza" su obbligazioni europee governative con scadenza breve (con rating elevato) e per secondo, recupero eventuali minus.
✂️ Continua il taglio dei tassi da parte della BCE (25 punti base) e della FED (25 punti base).
๐ฝ️ Consiglio la visione di un video di Marcello Ascani sul suo canale youtube, in linea generale non segnalo mai video perche' in rete se ne trovano di ogni con contenuti a dir poco imbarazzanti, ma questo secondo me, e' il piu' bello mai pubblicato dallo youtuber.
Sogni d'oro...๐ค




